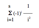
Ariketa 19:
Batukaria. Teklatuaren bitartez S zenbaki osoa eta positiboa irakurriz ondoko batukariaren emaitza lortu:
Azken aldaketa: asteartea, 2013(e)ko ekainaren 25(e)an, 12:08(e)tan